您现在的位置是:网站首页 > 产品中心

DZ-D型柱塞式计量泵

计量泵系列

DZ-D型柱塞式计量泵

咨询电话:021-66795651

产品详情

DZ-D.png

一、DZ-D型柱塞式计量泵产品概述:

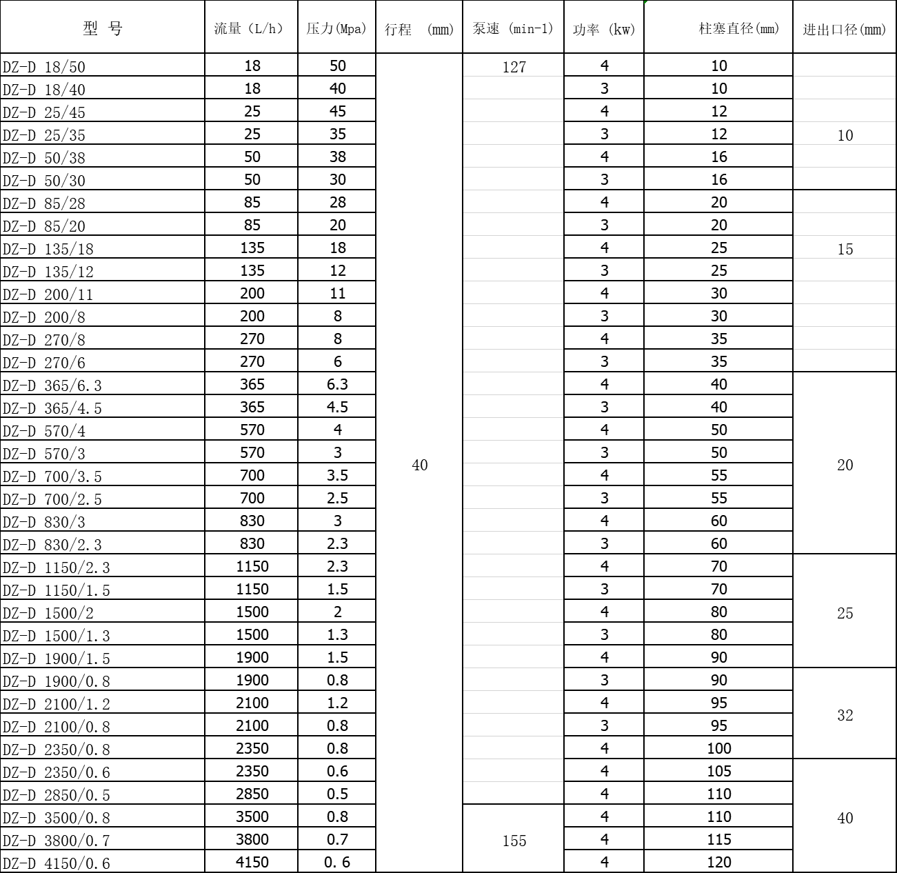
流量范围: 0-4150 L/H

压力范围: 0-50 Mpa

驱动系统:两相、三相电机或防爆电机

流量控制:手动控制,自动控制

防护等级: IP55,IP54

材料

泵头:SUS304,SUS316,SUS304+PTFE,SUS316+PTFE

隔膜:PTFE

单向阀:SUS304,SUS316,PVC,PTEF

阀球:氧化锆,SUS304,SUS316,陶瓷,二氧化硅

工作条件

环境温度:-30℃--- 90℃

二、DZ-D型柱塞式计量泵产品原理:

1. 通过柱塞的往复运动,直接将工作介质吸入或排出。由于柱塞和密封都直接接触介质,选择合造的柱塞材质和密封形式,可保证泵在运转过程中具有更理想的性能。

2. 柱塞泵头结构简单、经济、计量精度高,需要选择和维护好密封, 柱塞和密封之间横向自动对中性,确保两者之间的磨损小。柱塞的材质有不锈钢、氧化陶瓷,氧化陶瓷具有耐腐蚀和硬度高耐磨的特点。